跳转到主要内容
cathy 提交于

一般而言,与低压差(LDO)稳压器输出相比,人们认为传统开关稳压器的输出电压噪声很大。然而,LDO电压会引起严重的额外热问题,并使得电源设计更加复杂。全面认识开关稳压器噪声很有必要,有助于设计低噪声开关解决方案,使之产生与LDO稳压器相当的低噪声性能。本文分析和评估的目标是采用电流模式控制的降压稳压器,因为它在应用中最常用。信号分析是了解开关纹波噪声、当前宽带噪声特性(及其来源)、开关引起的高频尖峰噪声的主要方法。本文将讨论开关稳压器PSRR(电源抑制比,其对输入噪声抑制很重要)以及信号分析方法。

<strong>开关纹波噪声</strong>

本部分依据基波和谐波理论介绍降压转换器输出纹波计算公式。根据开关稳压器拓扑结构和基本操作,纹波始终是开关稳压器中的主要噪声,因为峰峰值电压幅度一般为几mV到几十mV。它应被视为周期性且可预测的信号。如果以固定开关频率工作,则在时域中通过示波器,或在频域中通过傅立叶分解,很容易将其识别并进行测量。

<center><img src="http://mouser.eetrend.com/files/2020-04/wen_zhang_/100048575-94384-1.jp…; alt=“” width="600"></center>
<center><img src="http://mouser.eetrend.com/files/2020-04/wen_zhang_/100048575-94385-2.jp…; alt=“图1. 降压稳压器拓扑” width="600"></center><center><i>图1. 降压稳压器拓扑</i></center>

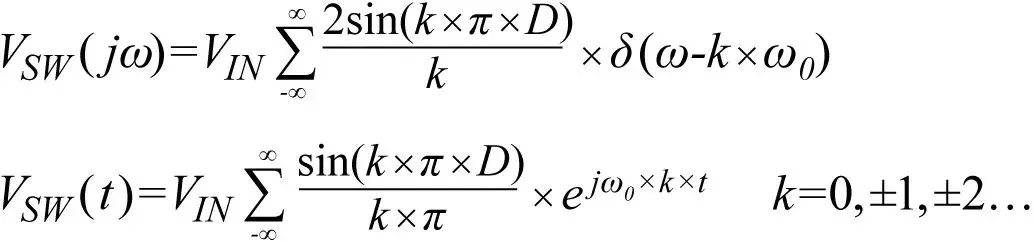
图1所示为典型的降压稳压器。两个开关交替接通和断开,因此SW节点电压VSW是一个理想的方波,此特性进而传递到占空比和输入电压。VSW可以用下面的公式表示:

其中:VIN为输入电压。D为占空比;对于降压稳压器,其等于VOUT/VIN。

VIN确定后,VSW基波和谐波成分仅取决于占空比。图2显示了与占空比相关的VSW基波和谐波幅度。当占空比接近一半时,纹波幅度以基波为主。

<center><img src="http://mouser.eetrend.com/files/2020-04/wen_zhang_/100048575-94386-3.jp…; alt=“图2. 降压稳压器 VSWW幅度与占空比的关系"></center><center><i>图2. 降压稳压器 VSWW幅度与占空比的关系</i></center>

降压稳压器输出LC级传递函数如下:

<center><img src="http://mouser.eetrend.com/files/2020-04/wen_zhang_/100048575-94387-4.jp…; alt=“” width="600"></center>

其中,L为输出电感值,DCR为电感电阻值,CL为电感并联电容值。COUT为输出容量值。ESL为电容串联电感值。ESR为电容串联电阻值。因此,VOUT可表示如下:

<center><img src="http://mouser.eetrend.com/files/2020-04/wen_zhang_/100048575-94388-5.jp…; alt=“”></center>

为了简化计算,我们假设输出LC级为20 dB/十倍频程,然后是与占空比相关的VOUT纹波基波和谐波幅度,如图3所示。当占空比接近一半时,三次或奇数次谐波将高于偶数次谐波。由于LC抑制,较高的谐波将具有较低的幅度,并且与总纹波幅度相比,其比例非常小。同样,基波幅度是开关稳压器输出纹波中的主要成分。

<center><img src="http://mouser.eetrend.com/files/2020-04/wen_zhang_/100048575-94389-6.jp…; alt=“图3. 降压稳压器VOUT纹波幅度与占空比的关系"></center><center><i>图3. 降压稳压器VOUT纹波幅度与占空比的关系</i></center>

对于降压稳压器,基波幅度与输入电压、占空比、开关频率和LC级有关;但是,所有这些参数都会影响应用要求,如效率和解决方案尺寸等。为了进一步降低纹波,建议增加后置滤波器。

<strong>宽带噪声</strong>

开关稳压器中的宽带噪声是输出电压上的随机幅度噪声。它可以用整个频率范围内的噪声密度来表示,单位为V/√Hz,或用V rms来表示,其与频率范围内的密度不可分。由于硅工艺和基准电压源滤波器设计的限制,宽带噪声主要位于开关稳压器的10 Hz至1 MHz频率范围内,在低频范围内很难通过增加滤波器来将其降低。

典型降压稳压器宽带噪声峰峰值幅度电压约为100μV至1000μV,远低于开关纹波噪声。如果使用额外的滤波器来降低开关纹波噪声,则宽带噪声可能成为开关稳压器输出电压的主要噪声。

图4显示了当没有额外滤波器时,降压稳压器输出噪声的主要来源是开关纹波。图5显示了当使用额外滤波器时,输出噪声的主要来源是宽带噪声。

<center><img src="http://mouser.eetrend.com/files/2020-04/wen_zhang_/100048575-94390-7.jp…; alt=“图4. 无额外滤波器的VOUT”></center><center><i>图4. 无额外滤波器的VOUT</i></center>
<center><img src="http://mouser.eetrend.com/files/2020-04/wen_zhang_/100048575-94391-8.jp…; alt=“图5. 有额外滤波器的VOUT(使用1000倍前置放大器进行测量)”></center><center><i>图5. 有额外滤波器的VOUT(使用1000倍前置放大器进行测量)</i></center>

为了识别和分析开关稳压器输出宽带噪声,必须获得稳压器控制方案和模块噪声信息。例如,图6显示了典型的电流模式降压稳压器控制方案和模块噪声源注入。

<center><img src="http://mouser.eetrend.com/files/2020-04/wen_zhang_/100048575-94392-9.jp…; alt=“图6. 典型电流模式降压稳压器控制方案” width="600"></center><center><i>图6. 典型电流模式降压稳压器控制方案</i></center>

对于获得的控制环路传递函数和模块噪声特性信息,有两种不同的噪声:环路输入噪声和环内噪声。控制环路带宽内的环路输入噪声会传输到输出,而环路带宽之外的噪声会被衰减。对于开关稳压器,设计低噪声EA和基准电压源至关重要,因为单位反馈增益会保持噪声水平不变,而不是随着输出电压电平增加而提高它。最大的挑战是找出整个系统中最大的噪声源,并在电路设计中降低该噪声。ADP5014针对低噪声技术进行了优化,采用电流模式控制方案和一个简单的LC外部滤波器,在10Hz至1 MHz频率范围内实现了低于20μV rms的噪声性能。ADP5014的输出噪声性能如图7所示。

<center><img src="http://mouser.eetrend.com/files/2020-04/wen_zhang_/100048575-94393-10.p…; alt=“图7. 采用额外LC滤波器的ADP5014输出噪声性能” width="600"></center><center><i>图7. 采用额外LC滤波器的ADP5014输出噪声性能。</i></center>

<strong>高频尖峰和振铃</strong>

第三类噪声是高频尖峰和振铃噪声,因为输出电压是由开关稳压器导通或关断瞬变产生的。考虑硅电路和PCB走线中的寄生电感和电容;对于降压稳压器,快速电流瞬变将在SW节点处引起高频电压尖峰和振铃。尖峰和振铃噪声会随着电流负载的提高而提高。图8显示了降压稳压器如何形成尖峰。根据开关稳压器的导通/关断压摆率,最高尖峰和振铃频率将在20 MHz至300 MHz范围内,受寄生电感和电容影响,输出LC滤波器在抑制方面可能不是非常有效。与上述关于传导路径的所有讨论相比,最差的是来自SW和VIN节点的辐射噪声,由于其频率非常高,输出电压和其他模拟电路会受到影响。

<center><img src="http://mouser.eetrend.com/files/2020-04/wen_zhang_/100048575-94394-11.j…; alt=“图8. 降压稳压器高频尖峰和振铃噪声”></center><center><i>图8. 降压稳压器高频尖峰和振铃噪声</i></center>

为了降低高频尖峰和振铃噪声,建议采用有效方法实施应用和芯片设计。首先,在终端负载上应使用额外的LC滤波器或磁珠。通常,这会使输出上的尖峰噪声远小于纹波噪声,但会增加更高频率的成分。其次,应屏蔽SW和输入节点的噪声源或让其远离输出侧及敏感模拟电路,并且屏蔽输出电感。精心布局和布线对设计很重要。第三,优化开关稳压器的导通/关断压摆率,并尽量减小开关稳压器的寄生电感和电阻,从而有效降低SW节点噪声。ADI Silent Switcher®技术也有助于通过芯片设计降低VIN节点噪声。

<strong>开关稳压器PSRR</strong>

PSRR反映开关稳压器抑制输入电源噪声传输到输出的能力。本部分分析低频范围内的降压稳压器PSRR性能。高频噪声影响输出电压主要是通过辐射路径,而不是通过前面讨论的传导路径。

根据图9所示的降压小信号图,降压PSRR可以表示如下:

<center><img src="http://mouser.eetrend.com/files/2020-04/wen_zhang_/100048575-94395-12.j…; alt=“” width="600"></center>
<center><img src="http://mouser.eetrend.com/files/2020-04/wen_zhang_/100048575-94396-13.j…; alt=“图9. 从输入电压到输出的电流模式降压小信号图。” width="600"></center><center><i>图9. 从输入电压到输出的电流模式降压小信号图。</i></center>

其中:

<center><img src="http://mouser.eetrend.com/files/2020-04/wen_zhang_/100048575-94397-14.j…; alt=“” width="600"></center>

Fm为斜率增益
F g为控制输入电压
Rcs为电流检测增益
Zo(s)为输出电容和负载
Tv(s)为环路传递函数

将信号模式计算与仿真结果进行比较。小信号模式是有效的,与仿真结果一致。

开关稳压器的PSRR性能取决于低频范围内的环路增益性能。开关稳压器的固有LC滤波器可以抑制中频范围(100 Hz至10 MHz)内的输入噪声。此范围内的抑制性能比LDO PSRR好得多。因此,开关稳压器具有理想的PSRR性能,因为其在低频时具有高环路增益,而固有LC滤波器会影响中频范围。

<center><img src="http://mouser.eetrend.com/files/2020-04/wen_zhang_/100048575-94398-15.j…; alt=“图10. 采用降压小信号模式的PSRR计算结果"></center><center><i>图10. 采用降压小信号模式的PSRR计算结果</i></center>
<center><img src="http://mouser.eetrend.com/files/2020-04/wen_zhang_/100048575-94399-16.j…; alt=“图11. SIMPLIS模式的PSRR仿真"></center><center><i>图11. SIMPLIS模式的PSRR仿真</i></center>

<strong>结论</strong>

越来越多的模拟电路,如ADC/DAC、时钟和PLL等,需要干净的能提供高电流的电源。每个器件对不同频率范围内的电源噪声都有不同的要求和规格。有必要全面了解不同类型的开关稳压器噪声并认知电源噪声要求,从而设计和实现高效率、低噪声开关稳压器,以满足大多数模拟电路电源的低噪声规格。与LDO稳压器相比,这种低噪声开关解决方案将有更高的功效比、更小的解决方案尺寸和更低的成本。

本文转载自:亚德诺半导体
免责声明:本文为转载文章,转载此文目的在于传递更多信息,版权归原作者所有。本文所用视频、图片、文字如涉及作品版权问题,请联系小编进行处理。

<strong><a href="http://www.mouser.cn/applications/&quot; style="color:red;">点击这里,获取更多关于应用和技术的有关信息</a></strong>
<strong><a href="https://www.mouser.cn/blog&quot; style="color:red;">点击这里,获取更多工程师博客的有关信息</a></strong>