跳转到主要内容

电源噪声测试的陷阱

cathy /

<strong><font color="#004a85">作者:David Maliniak</font> </strong>

当前的电路和系统使用1.2V甚至更低的供电电压运行,即使电压的微小变化也会产生误码、抖动、错误切换以及与瞬态相关的问题,让我们难以解决。

配电网(PDN)的噪声测量已经成为调试和排查系统设计问题的焦点,但是,确定PDN完整性的过程并非没有“陷阱”。在本文中,我们将介绍PDN测量和探测中导致错误测试结果的一些挑战,以及如何克服它们。

<strong>小心RF干扰</strong>

来自EMI/RFI的干扰噪声是其中的一个挑战,即使是对1.5V电池的电压测量,这种干扰也是显而易见的,考虑到电池内部的电化学反应和由于探测引起的一点电流消耗,我们可以预见到电压波形上会有适量的噪声。

想要节省MIMO RF前端设计的偏置功率?高功率硅开关来搞定

cathy /

多输入、多输出 (MIMO) 收发器架构广泛用于高功率 RF 无线通信系统的设计。作为迈入 5G 时代的一步,覆盖蜂窝频段的大规模MIMO 系统目前正在城市地区进行部署,以满足用户对于高 数据吞吐量和一系列新型业务的新兴需求。

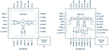
高度集成的单芯片射频收发器解决方案 (例如,ADI 推出的 ADRV9008/ADRV9009 产品系列) 的面市促成了此项成就。在此类系统的 RF 前端部分仍然需要实现类似的集成,意在降低功耗 (以改善热管理) 和缩减尺寸(以降低成本),从而容纳更多的 MIMO 通道。

<center><img src="http://mouser.eetrend.com/files/2019-01/wen_zhang_/100016816-56258-wd1…; alt=“” width="600"></center>

支持RF无线传输的pH传感器参考设计

cathy /

<strong>摘要</strong>

如果系统精度、效率和可靠性至关重要,设计传感器节点 无线数据传输以用于远程监控会是一个相当大的挑战。溶 液的pH值是许多行业需要考虑的一种测量,例如农业或医 疗领域。本文的主要目的是评估pH玻璃探针的特性,从而 解决硬件和软件设计的不同挑战,并提出一种利用射频收发器模块从探针无线传输数据的解决方案。

<strong>简介</strong>

本文第一部分介绍pH探针,然后探讨与前端信号调理电路相关 的各种设计挑战,以及如何实现低成本、高精度、高可靠性的数 据转换。为了提高数据处理的精度,讨论中还会涉及校准技术, 例如一般多项式拟合,即利用最小二乘法逼近分散的预定义数 据来校准pH值。本文最后一部分提供一种无线监控系统参考电 路设计。

<strong>了解pH探针</strong>

<strong>pH值定义</strong>

姿势get√, 这是6 GHz以下多频段基站的首选架构!

cathy /

为了支持不断增长的无线数据需求,现代基站无线电设计支持多个 E-UTRA 频段以及载波聚合技术。这些多频段无线电采用新一代 GSPS RF ADC和DAC,可实现频率捷变、直接RF信号合成和采样技术。

为了应对 RF 无线频谱的稀疏特性,利用先进 DSP 来高效实现数据比特与RF的来回转换。本文描述了一个针对多频段应用的直接RF发射机例子,并考虑了 DSP 配置以及功耗与带宽的权衡。

<strong>10年、10倍频段、100倍数据速率</strong>

智能电话革命开始于10年前,其标志事件是苹果公司于2007年发布初代 iPhone。10年后,历经两代无线标准,很多事情都发生了变化。也许不像作为消费电子的智能电话(称为用户设备 (UE))那样吸引眼球并常常占据新闻头条,但无线电接入网络 (RAN)的基础设施基站 (eNodeB) 也历经嬗变,才成就了我们如今互连世界的数据洪流。蜂窝频段增加了10倍,而数据转换器采样速率增加了100倍。这使我们处于什么样的状况?

<strong>多频段无线电和频谱的有效利用</strong>

利用采样保持放大器和RF ADC从根本上扩展带宽以突破X波段频率

cathy /

<strong>摘要</strong>

模拟带宽的重要性高于其他一切在越来越多的应用中得到体现。随着GSPS或RF ADC的出现,奈奎斯特域在短短几年内增长了10倍,达到多GHz范围。这帮助上述应用进一步拓宽了视野,但为了达到X波段(12 GHz频率),仍然需要更多带宽。在信号链中运用采样保持放大器 (THA),可以从根本上扩展带宽,使其远远超出ADC采样带宽,满足苛刻高带宽的应用的需求。本文将证明,针对RF市场开发的最新转换器前增加一个THA,便可实现超过10 GHz带宽。

<strong>简介</strong>

RF和混合信号PCB的一般布局指南(三)

cathy /

<strong>去耦和旁路电容的选择</strong>

由于存在自谐频率(SRF),现实中电容的有效频率范围是有限的。可以从制造商处获得SRF,但有时候必须通过直接测量进行特征分析。SRF以上时,电容呈现感性,因此不具备去耦或旁路功能。如果需要宽带去耦,标准做法是使用多个(电容值)增大的电容,全部并联。小电容的SRF一般较大(例如,0.2pF、0402 SMT封装电容的SRF = 14GHz),大电容的SRF一般较小(例如,相同封装2pF电容的SRF = 4GHz)。表2所列为典型配置。

表2. 电容的有效频率范围
<center><img src="http://mouser.eetrend.com/files/2018-01/wen_zhang_/100009796-33279-b1.p…; alt=“” width="800"></center>

*有效频率范围的低端定义为低于5Ω容抗。

RF和混合信号PCB的一般布局指南(二)

cathy /

<strong>传输线弯角补偿</strong>

由于布线约束而要求传输线弯曲时(改变方向),使用的弯曲半径应至少为中间导体宽度的3倍。也就是说:

<center>弯曲半径 ≥ 3 × (线宽)</center>

这将弯角的特征阻抗变化降至最小。

如果不可能实现逐渐弯曲,可将传输线进行直角弯曲(非曲线),见图6。然而,必须对此进行补偿,以减小通过弯曲点时本地有效线宽增大引起的阻抗突变。标准补偿方法为角斜接,如下图所示。最佳的微带直角斜接由杜维尔和詹姆斯(Douville and James)公式给出:

<center><img src="http://mouser.eetrend.com/files/2018-01/wen_zhang_/100009774-33202-t5.g…; alt=“” ></center>

RF和混合信号PCB的一般布局指南(一)

cathy /

本应用笔记提供关于射频(RF)印刷电路板(PCB)设计和布局的指导及建议,包括关于混合信号应用的一些讨论,例如相同PCB上的数字、模拟和射频元件。内容按主题进行组织,提供“最佳实践”指南,应结合所有其它设计和制造指南加以应用,这些指南可能适用于特定的元件、PCB制造商以及材料。

<center><img src="http://mouser.eetrend.com/files/2018-01/wen_zhang_/100009746-33121-b1.j…; alt=“” width="600"></center>

<strong>射频传输线</strong>

许多Maxim射频元件要求阻抗受控的传输线,将射频功率传输至PCB上的IC引脚(或从其传输功率)。这些传输线可在外层(顶层或底层)实现或埋在内层。关于这些传输线的指南包括讨论微带线、带状线、共面波导(地)以及特征阻抗。也介绍传输线弯角补偿,以及传输线的换层。

GaN打破壁垒—RF功率放大器的带宽越来越宽、 功率越来越高

cathy /

<strong>摘要</strong>

电信行业不断需要更高的数据速率,工业系统不断需要更高的分辨率,这助推了满足这些需求的电子设备工作频率的不断上升。许多系统可以在较宽的频谱中工作,新设计通常也会有进一步增加带宽的要求。在许多这样的系统中,人们倾向于使用一个涵盖所有频带的信号链。半导体技术的进步使高功率宽带放大器功能突飞猛进。GaN革命席卷了整个行业,并且可以让MMIC在几十种带宽下生成1 W以上的功率,因此,这个过去由行波管主导的领域已经开始让步于半导体设备。更短栅极长度的GaAs和GaN晶体管的出现以及电路设计技术的升级,衍生了一些可以轻松操作毫米波频率的新设备,开启了几十年前难以想象的新应用。本文将简要描述支持这些发展的半导体技术的状态、实现最佳性能的电路设计考虑因素,还列举了展现当今技术的GaAs和GaN宽带功率放大器(PA)。

技术文章:设定相位同调RF量测系统:从 MIMO 到波束赋形

cathy /

<strong>概览</strong>

自从传送出第一笔无线电波之后,工程师就持续发明新方法,以优化电磁微波讯号。RF 讯号已广泛用于多种应用,其中又以无线通信与 RADAR 的 2 项特殊应用正利用此常见技术。就本质而言,此 2 项应用的独到之处,即是利用电磁波的空间维度 (Spatial dimension)。直到今天,许多无线通信系统整合了多重输入/输出 (MIMO) 天线架构,以利用多重路径的讯号传播 (Propagation) 功能。此外,目前有多款 RADAR 系统均使用电磁波束控制 (Beam steering),以取代传统的机械控制传输讯号。这些应用均属于多通道相位同调 (Phase coherent) RF 量测系统的主要行进动力之一。 就本质而言,此 2 项应用的独到之处,即是利用电磁波的空间维度 (Spatial dimension)。直到今天,许多无线通信系统整合了多重输入/输出 (MIMO) 天线架构,以利用多重路径的讯号传播 (Propagation) 功能。此外,目前有多款 RADAR 系统均使用电磁波束控制 (Beam steering),以取代传统的机械控制传输讯号。这些应用均属于多通道相位同调 (Phase coherent) RF 量测系统的主要行进动力之一。