作者:Azoteq中国
随着AR/VR眼镜、头戴式耳机和入耳式耳塞、智能手表和健身手环等可穿戴电子产品受到越来越多消费者的欢迎,如何设计外形更加时尚迷人、功能更加先进宜人的穿戴产品成为了创新和创意的焦点。作为全球领先的多传感器解决方案提供商,Azoteq将在本文中介绍穿戴状态检测这一重要功能的设计要点。
“穿戴状态检测”是一个术语,用于在各种条件下保持较长时间的近距离接近、触摸或穿戴状态触发器。Azoteq的工程团队在本文中以不同穿戴设备为例,详细讲解了如何为这些新颖的设备增加穿戴状态检测功能。
1、穿戴状态检测的定义
检测长时间使用的可穿戴设备的穿戴状态(穿戴/“戴上”),以及在终止使用或将设备从人身上移走时检测是否成功释放。
2、穿戴状态检测的设计

图2.1 传感器系统设计课题
2.1 穿戴状态检测的电容值
典型的“穿戴状态检测”应用需要区分电容测量值中非常小的差异,它因传感器尺寸和触摸与接近唤醒的特性影响而产生。
下表列出了一些已知的穿戴状态案例和与之相关的电容值。
表2.1 不同穿戴状态检测应用的典型传感器尺寸和电容变化值

2.2 电容阈值vs系统总电容
由于在穿戴状态检测应用中观察到的电容信号变化很小,因此通常要求系统设计具有更小的阈值。这些阈值对于传感器的总负载来说是微不足道的,环境变化都可以带来类似的或者甚至更大比例的电容信号,这对穿戴状态检测信号完整性构成了很高的风险。
表2.2 不同穿戴状态检测应用的典型传感器尺寸和电容变化值


图2.2 典型的实验室测试情况
图2.3 典型的使用场景测试——可能很容易在加热/冷却条件下显示250fF
3、传感器盘(pad)设计

3.1 面积和地线基准
传感器的面积和对系统地电位的参考值将直接影响一个穿戴状态检测传感器的自电容(selfcapacitance)灵敏度,这一可检测的范围通常被称为接近灵敏度。工程师应评估传感器与地的关系,并确保电极能产生合理的电场分布,这些电场能够按要求在正确的面积或距离上有对应的敏感度。
接近传感器的最小推荐电极导体面积尺寸为:100mm²


图3.1 平行板案例的接近灵敏度与寄生负载的权衡
3.2电池上的感应盘
> 感应盘通常直接被放置在电池上
> 性能通常比预期的要好,如下所述

图3.2 锂离子电池的侧面轮廓显示外壳材料和其他不导电层
> 电池的“壳”(外壳上的材料)通常是由非导电材料和导电材料组合而成

图3.3 电池侧廓图显示了其中的非导电层和导电层(铝阻挡层)
> “铝阻挡层”是一种漂浮不定的金属层,其电容耦合到感应盘和电池接地中

图3.4电池壳对传感器电容的影响
> 在这种情况下,电池壳本身也是传感器的一部分,由传感器IC间接充电和放电
> 如果CBAT或CGND在使用或跌落测试过程中发生变化,将影响穿戴状态检测的性能
3.3、屏蔽
根据图3.4,建议在感应盘和电池之间放置一个粗帽型网格化接地(hatched GND)屏蔽罩来最小化CBAT。
设计指南:
1.根据下一节提供的示例,评估所需的感应盘总面积(单位为mm²)。请注意,网格地(hatched pour)将缩短接近距离,这基于寄生负载的数量——请将其保持到最小值,以获得最佳灵敏度。
2.在相对的另一层铺网格地,并连接到IQS传感器相同的GND地线上。
3.根据制造商的生产工艺最小限制,使用最细的走线宽度,大多数柔性印制板(FPC)工艺的连线宽度通常为0.15mm。
4.使用公式:
5.调整网格大小参数,以得到所需的网格线宽在实际接地部分(GND)所占的百分比。

图3.1 用典型的PCB设计工具,在已定义的感测区域上设置一个网格化的接地覆铜屏蔽
6.评估感应盘的形状,以使用适当的网格组模式(45°/ 90°/水平/垂直),这取决于哪种模式最能均匀地覆盖整个区域的感应盘。
7.在大约100mm²感应盘上,根据下列网格边缘所占百分比,应该提供可被接受的结果:
a.接地网格占比为7%——最大屏蔽,最高寄生负载
b.接地网格占比为5%——中等屏蔽,中等寄生负载
c.接地网格占比为3%——最小屏蔽,最小寄生负载

图3.2 从上到下:a.接地网格屏蔽为7%;b. 接地网格屏蔽为5%;c. 接地网格屏蔽为3%
8.将接地网格的占比降到最小值,即使在跌落测试和其它电池运动诱发的使用/测试案例中,仍然可以成功地屏蔽传感器而不会误触发。
9.评估传感器信号在温度和长期激活情况下的稳定性。
3.4 传感器盘大小与接近检测距离的对比

图3.5 用于调整接近触发器距离测量的测试设置(类似于穿戴设备应用场景)
表3.1 测试用例检测传感盘的大小和布局,并获得最终的接近距离数据



3.5 放置位置和覆盖范围
> 在健身手环的案例中:两个独立的电极为不同的使用者在佩戴这种设备时,提供了更大的覆盖不同体型和松紧度的范围。

图3.6 在采用双传感盘的典型健身手环中放置传感器的示例。
以健身手环为例,由于FPC/PCB上用于穿戴状态检测的空间有限,健身手环可以通过将传感器设计打印到塑料机身上而显著受益。这解决了覆盖问题,同时也是最稳定的传感器材料选择。选择这种工艺还可以将蓝牙和NFC天线集成到塑料外壳中。

图3.7 在塑料件上放置天线图案的示例
3.6 材料
电容式传感器的电路和基底材料特性会有很大的不同。电容式传感器导体和PCB/FPC基底类型包括铜带、塑料上的印刷油墨、传统的FR4、FPC变体和简单的绝缘线。以下是电容式传感器使用材料的常用示例清单。
表3.2 典型的基底材料和用作各种传感器导体的载体适用性


3.7 温度
长时间穿戴状态检测下,传递到诸如智能手表、健身追踪器等可穿戴设备和长时间保持身体密切接触的耳机上的身体热量会影响电容式传感器测量值。
> 与人的皮肤、耳朵或头部直接/间接接触的电极首先会被加热,比系统设计中的其他部分更重要。
> 传递给传感器IC和感测电极的差分变化值不能仅用内部补偿方法来解释,还需要外部参考信道。
> 基底材料的热力学特性起着重要的作用,其影响在薄型FPC设计中最为显著。
有关此主题的详细讨论,请参阅下一节。
3.8 防水能力
大多数可穿戴设备都具有复杂的机械设计,提供了可以密闭包裹电子部件的外壳,以实现防止或者阻挡水侵。

图3.8 存在保水性风险的超声焊接
> 模具注塑外壳的连接处有可能存在接缝、缝隙、空腔和连接点,因而仍然可能保留外壳外的水分。如果这种水分位于或者在电容传感器附近或顶部被采集到,它将显著影响电容传感器的数值和性能。这可能导致不正确的穿戴状态检测结果。
> 由于湿度、冷凝和蒸发引起的环境条件变化有时会导致不准确的穿戴状态检测/读出状态。建议在早期设计阶段进行测试,以确定问题区域。
3.9 水分
如果一款设计非常容易受到湿度变化的影响,或者对于一般针对不防水的设备,请参阅下一节讨论基底材料和吸湿影响。
例如,在耳罩中带有感应盘的头戴式耳机会增加受潮风险。在佩戴过程中,水分增加和水分保留通常会导致从头部移除耳机时,出现释放检测失败或显著延迟释放。
通过在对水分敏感区域的背面使用对水分不敏感的材料,如塑料印刷传感盘(LDS),即可避免这些影响。
4、连接设计

4.1 长度和面积
当传感器线路需要从芯片(IC)布线走到预期的传感盘/区域时,就需要适当的连接设计。请注意以下事项:

图4.1 传感线路走线较长会使设计复杂化并限制性能,而走线较短则会简化设计并优化性能
> 更长的走线更容易受到各种形式的干扰。
>由于温度和湿度的变化,更容易给面积更大的方案带来显著的电容值变化。
> 小心堆叠区域/多层PCB及薄FPC等分层区域。
> 当参考其他导体/电位时,机械干扰就会改变信号。
4.2 地面效果和材料选择
诸如传感器走线/线路等连接设计会对传感器中的寄生电容产生很大影响。
两个或更多个导体之间的基板具有比同一层或单层PCB中的导体更大的寄生电容(Cp),上面有其他材料层,或如阻焊膜、塑料外壳等接触。
表4.1 单层与相互重叠的多层走线——平面耦合

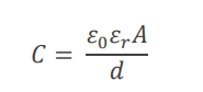
用第一性原理来确定平行板电容器模拟值(Cx - GND):

图4.2 平行板电容器参数
> εr:相对介电常数(无单位)
> ε0:空气介电常数= 8.854 × 10-12 F/m
> A:极板面积(m2)
> d:极板间分隔距离(m)
表4.2 以1mm²面积的双面平行板为例,观察到的常用印刷电路基底材料及其寄生电容贡献的典型范围

4.3 干扰因素
表4.3 平行共面与正交非共面走线交叉与耦合

4.4 吸湿性
当基板吸收了水分以后,就增加了材料的介电常数(εr),这转化为任何平行导电传感器板的寄生电容(Cp)的增加。
裸露的、未涂覆的层压板与涂有阻焊膜的板相比,具有更高的吸湿率。
表4.4 常用PCB/FPC衬底的典型吸水率

根据经验,当PCB没有被封装在外壳中,而耳罩将用户的耳朵包裹起来时,湿气会对耳罩式耳机产生影响,并将微湿/潮湿的空气与体温升高相结合。
然而,湿度的存在仍然会影响电容式传感器的测量,即使使用适当的基底材料和具有低吸湿特性的外壳。对于相对湿度含量的变化,用户与传感器板之间的空隙的外部变化仍然可以动态变化。下图显示了一个例子,说明湿度会产生多么剧烈的影响。

图4.3 基于VOPcPho的Al/VOPcPho/Au电容式传感器的电容与相对湿度的关系[p
5、用相应的芯片来实现设计

5.1 选择器件
根据所需和提供的通道数量,来决定具体的IQS器件。
为实现穿戴状态检测功能,现在推荐以下器件:
> IQS620A——2个CX引脚(仅有自电容);3个软件通道
> IQS269A——8个CX引脚(自容&互容);8个灵活的软件通道
> IQS626A——8个CX引脚(自容&互容);3个灵活的软件通道
推荐:预留2个通道(两个单独的传感器CX引脚)来用于穿戴状态检测。参见下面的“参考通道”实现。
5.2 最优化的设置
尽管最新的IQS传感器(如上推荐)拥有各种软配置选项来调整传感器的性能,但在选择设置以微调性能之前,首先还是要成功进行适当的硬件设计(根据上述指南),这仍然是至关重要的。
针对穿戴状态检测,现推荐传感器设置如下:
> 建议使用慢速充电转移频率(500kHz或更低)。
>基准值>= 100个,目标值±1000个。
硬件优化对于量产的成功至关重要。建议在试生产和量产期间验证传感器的参数(乘法器和补偿),以限制性能的分布范围,并识别和隔离制造故障或设计缺陷。
5.3 参考通道——内部和外部器件参考(基于IC和布局)

图5.1 图示主通道和参考通道的走线方式,以得到类似的布线寄生电容
使用“感应”和“参考”通道的优点:
> 提供最佳的穿戴状态检测性能
> 在可穿戴产品多元化的运行环境中优化传感器的完整性
> 同时涵盖IC、PCB和FPC的环境变化

图5.2 图示是芯片和感应电极相隔距离远的例子,需要“参考跟随通道”来保证长时间后仍能精确触发
表5.1 传感和参考通道组合的典型案例

1 长期平均值(Long term average,LTA)是实际传感信号经过滤波后的平均值。
2“LTA冻结”意味着当LTA被用作接近/触摸阈值的参考时,它不会被主动更新。通常,当达到接近阈值的时候,LTA将冻结。

5.4参考通道——内部器件参考(仅基于IC)
当需要一个更简单和性价比更高的选择时:
>还有一些不错的选择,如IQS620A和IQS624等器件
> 它们只有2个CX传感器,没有片上参考通道UI执行
> 这些可用于穿戴状态检测通过特殊的设计
在这些情况下,建议采取以下措施:
>使用一个通道作为主传感器,另一个通道来作为参考通道(需要适当的布线和电容负载)
> 需要主机/主MCU去检索和处理电容测量数据,以确保能够检测出和补偿环境的变化
> 如果两个通道都用于传感器应用,如触摸界面和穿戴状态检测
> 可以启用内部温度转换通道
>这是用于跟踪芯片本身所承载的任何温度变化
> 在这种情况下,传感器电极和芯片所受到的影响应该是相同的,并且与成功的参考调整(如有必要)密切相关。
不建议将上面提到的(基于内部温度的参考方法)来作为故障安全解决方案,因为一些设计更容易受到复杂的、动态的外部变化的影响,而这些变化IQS芯片无法准确的识别。
6、推荐的设计流程
按照以下步骤正确地进行原型设计,即可为穿戴状态检测应用设计和评估传感器性能:
1.将IQS芯片放置在尽可能靠近传感器电极的位置(使寄生电容负载最小,减少走线暴露在噪声/环境变化中)

2.确定好可用的空间(即电极感应区域)和合适的材料来作为支架和盖板。

3.请根据本文档所讨论的结果来选择材料和感应盘尺寸。
4.在确定机械结构之前,反复打磨原型设计使其尽可能地接近预期的产品设计。
a. 使用Azoteq提供的工具对具体的设计和传感器操作环境进行调试(如评估相对计数(delta)变化、测量绝对电容变化、评估电池供电引起的信号减弱的影响)。
b.在设计初期要进行环境变化测试,包括温度、湿度和机械运动等。
c. 在使用参考通道时,需要反复测试以确保获得适当的参考跟踪/阻塞数据。
5.根据原型结果和优化措施来确定材料和感应盘尺寸。
6.通过长时间在不同环境(热、冷、出汗、水等)中的类似/重复测试和实际用户穿戴状态测试,确认最终设计符合原型测试结果。
有任何关于设计、调试和测试的额外的详细的需求,请联系Azoteq。