7.2.3 性能分析
为评估同步性能,可以考虑多个变量。这些变量包括但不限于锁定时间、有效拉入范围及收敛误差矢量幅度(EVM)。 应以满足特定设计需求为目标对这些度量进行平衡,因它们彼此间存在冲突。例如,设计一个具有快速锁定时间的系统可能很简单,但其捕获范围可能受限。这与公式(7.14)直接相关,也是文献[6 附录C]所定义的归一化频率锁定延迟的次要测量:

如果我们直接关注PED的误差信号,可以展示阻尼因子ζ与环路带宽BLoop之间的权衡。将7.4节的代码修改为固定归一化载波偏移为0.01、阻尼因子ζ=1.3,并选择两个不同的环路带宽BLoop后,

可在图7.10中观察到,B环路配置下的归一化偏移均小于f,pull。当B环路为0.24时,系统在数十个样本内收敛,而B环路为0.03 时收敛速度慢了一个数量级。然而,当B环路为0.03 时,收敛误差信号σe2的方差比B环路为0.24时小三倍。该误差以相位噪声形式出现在y(n)上,影响信号的解调准确性。
可在图7.10中观察到,B环路配置下的归一化偏移均小于f,pull。当B环路为0.24时,系统在数十个样本内收敛,而B环路为0.03 时收敛速度慢了一个数量级。然而,当B环路为0.03 时,收敛误差信号σe2的方差比B环路为0.24时小三倍。该误差以相位噪声形式出现在y(n)上,影响信号的解调准确性。

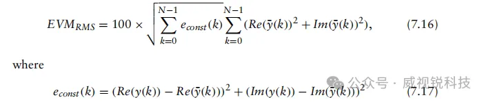
7.2.4 误差向量幅度测量
评估EVM对于y(n)能够反映恢复信号中的相位噪声。EVM是理解系统中算法性能的非常重要的测量指标。EVM衡量星座相对于参考位置的残余误差。计算百分比RMS形式的EVM可用以下公式:

且y¯(k)为y(k)的参考符号。EVM是衡量接收信号离散度的指标。因此,EVM值越低,性能越好。在某些情况下,计算以分贝为单位的 EVM是有意义的,其数值可转换为


在正交频分复用标准中,计算以分贝表示的EVM非常常见,因为高阶星座的发射信号需要较大的EVM裕度以实现恢复。为了方便起见,通信系统工具箱包含一个名为comm.EVM的系统对象,用以帮助我们完成这些计算。

7.3 相位不确定性
载波同步中最后需要考虑的课题是相位不确定性。相位不确定性源自此处所述的FFC同步器对发射信号真实方向的盲目性。对于特定的对称调制方案,存在若干种可能的收敛方向,这些方向与调制阶数相关。例如,PAM具有两种可能的取向,QPSK和矩形正交振幅调制各有四种,而MPSK则有M种可能的取向。然而,针对该问题存在多种解决方案,包括码字的使用、带训练数据的均衡器以及差分编码。每种实现方式均适用于不同的使用场景。
7.3.1 码字
码字的使用是解决相位模糊常见的手段,依赖于接收数据中的已知序列。这通常指预同步码,存在于每个帧中,且接收机端已知。该方法可在解调前或解调后采用。若在解调后执行,输出的位需重新映射至其真实位置。通过实例阐述该过程最为恰当。考虑源字w及其对应的QPSK符号s:

对每个码字符号进行解调并与预期结果进行比较,将提供必要的映射关系,从而正确解调剩余的数据符号。对于实现而言,解调所有预同步码符号将非常有用,并采用最常见的方向映射,因为仅依赖单个符号可能导致误差。
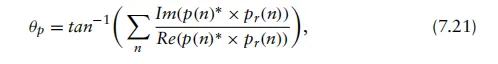
或者,可以直接测量相位偏移θp相对于正确方向,其中p为接收的预同步码符号,pr为参考或真实的预同步码符号,所需的校正为

假设p(n)具有理想的方向。然后剩余信号y可被校正为

7.3.2 差分编码
处理相位模糊的第二种方法是对源位进行差分编码。其目标是使真实数据依赖于连续位之间的差异,而非接收到的位本身。为了编码源数据,我们在发射机端施行如下操作:

其中bt为传输的编码位,b为未编码位,⊕表示模二加法。对信号进行解码时,基本上是将(7.23)逆向执行,即

通常,该方案中首位位被忽略,因为其仅基于自身,而非两个连续位间的差异。工程师或许认为这有些浪费,但该方法简化了与符号偏移测量相关的复杂数学运算,仅需位级操作。此外,还能降低因位错误传播而引起的接收信号的位误差率。
7.3.3 均衡器
第三种常见方案是依靠均衡器来校正系统中的该不确定性。利用训练数据,均衡器能够学习并校正这种相位移,本质上这仅是一次复数乘法。均衡器内容将在第9章节中详细讨论。然而,若均衡器不执行信道校正或同步,完成此任务对均衡器实现而言相对简单。
7.4 章节小结
本章节讨论并建立了载波偏移的模型及其与接收机操作的关联。基于此模型,提出了两种补偿载波偏移的方案,分别为粗恢复和精细恢复算法。
除此之外,也存在可在需要时联合执行定时与载波恢复的其他实现方式[6]。我们考察了这些算法在系统层面的应用以及单独性能的评估方法。涵盖了其参数化特性以及对恢复数据的度量指标。
综上所述,载波偏移补偿是在两个具有独立本振集合的分离节点之间传输数据时必需的一种同步技术。
文章来源:威视锐科技